
JustLend DAO完成首轮JST回购
原文作者:ASXN
原文编译:深潮 TechFlow
WOOFi 是一个跨链去中心化交易所,用户可以在 10 条不同的链上进行资产互换、赚取收益和质押。该交易所使用了一种新颖的合成主动做市(sPMM)算法来定价资产,通过检索中心化交易所的订单簿数据以及一个复杂的对冲机制来实现做市商的运作。与传统的自动做市机制(AMM)相比,这可以实现更准确的定价、更高效的流动性、最小化的无常损失以及防止竞价交易的保护。
在过去一年中,WOOFi 积极追求积极的跨链扩张战略,并且经常成为新上线的 EVM 兼容链上的首批非原生去中心化交易所之一。
通过 WOOFi 挖矿,WOOFi 提供了 Supercharger Earn Vaults,这是一种不会造成无常损失的单向收益产品。 Supercharger Earn Vaults,在本质上是一个资产负债率低的借贷产品,类似 Maple 借贷,可以产生真实收益。
WOO 代币持有者可以通过 WOOFi 质押从这些协议费用中获益。WOOFi 质押使得用户可以在多个链上质押 WOO 并赚取协议费用,WOO 质押者的收益率一直保持在 4% 左右,奖励以 USDC 的形式发放。
在过去一个月中,WOOFi 交易量的日均值达到了 1363 万美元,使其成为区块链领域交易量排名第 20 的去中心化交易所。此外,WOOFi 在这个时期的日均活跃交易者数约为 7000 。


WOOFi 交易所使用了 sPMM 算法,该算法旨在模拟中心化交易所的报价、买卖差价和市场深度。
相比之下,大多数去中心化交易所作为自动做市商(AMM)运作,并使用恒定乘积做市商模型。这些模型依赖于 xy = k 函数根据每个代币的可用储备余额(x 和 y)计算两个代币之间的价格。这一曲线基于这样一个原理:交易不应改变一对储备余额(x 和 y)的乘积(k)。根据恒定乘积公式,代币 x 的价格计算为价格 x = 储备代币 y / 储备代币 x。
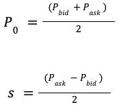
另一方面,sPMM 算法接收中心化交易所的订单簿数据,使用中间价格(P 0)(买入和卖出价格的平均值)、买卖差价(s)(卖出价格和买入价格与中间价格的差值的比率)和滑点来确定交易价格。

订单簿数据来源的中心化交易所由做市商选择,取决于做市商选择对冲的地方。使用自定义的链上价格预言机来接收数据。预言机主动推送价格更新;这意味着随着中心化交易所价格的变动,新价格替代旧价格。当用户进行兑换时,他们获得基于链上最新有效参数的价格。链上数据由做市商自行决定基于价格偏差进行更新,通常约为 0.1% (即价格变动 0.1% 时更新)。
除了中间价格和买卖差价数据之外,WOOFi 还使用一个滑点系数(k)来模拟提取订单簿数据的中心化交易所的流动性。它用于确保链上滑点与中心化交易所订单簿上的滑点相匹配,即,在中心化交易所和 WOOFi 交易所上执行相同交易的用户,会经历相似的滑点。
滑点系数确保链上报价具有足够的竞争力以吸引聚合器的流量,同时也管理与对冲链上流量以维持市场中性并获利相关的风险。
资产 x 的价格:
AMM:

其中:y 是池中代币 y 的余额,x 是池中代币 x 的余额
WOOFi Swap:

以下是 WOOFi Swap 的工作概述:
例子,用户想要用 USDC 买 ETH:
用户发起交易,用 USDC 买 ETH。
sPMM 算法通过自定义的链上价格预言机从中心化交易所的订单簿获取中间价格和买卖差价数据。
根据买卖差价和流动性估算用户将收到的 ETH 数量,以匹配中心化交易所。
用户通过流动性池收到 ETH,支付 USDC。
免责声明:数字资产交易涉及重大风险,本资料不应作为投资决策依据,亦不应被解释为从事投资交易的建议。请确保充分了解所涉及的风险并谨慎投资。OKEx学院仅提供信息参考,不构成任何投资建议,用户一切投资行为与本站无关。

和全球数字资产投资者交流讨论
扫码加入OKEx社群
industry-frontier