
JustLend DAO完成首轮JST回购
书接上回,关于《用多因子模型构建强大的加密资产投资组合》系列文章中,我们已经发布了三篇:《理论基础篇》、《数据预处理篇》、《因子有效性检验篇》。
前三篇分别解释了多因子策略的理论与单因子测试的步骤。
我们通过单因子测试部分筛选出一批有效因子,但以上因子不能直接入库。因子本身可以根据具体的经济含义进行大类划分,同类型的因子间存在较强的相关性,若不经相关性筛选直接入库,根据不同因子进行多元线性回归求预期收益率时,会出现多重共线性问题。计量经济学中,多重共线性是指回归模型中的一些或全部解释变量存在“完全”或准确的线性关系(各变量间高度相关)。
因此,有效因子筛选出后,首先需要根据大类对因子的相关性进行 T 检验,对于相关性较高的因子,要么舍弃显著性较低的因子,要么进行因子合成。
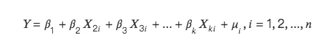
多重共线性的数学解释如下:

会存在两种情况:

多重共线性导致的后果:
1.完全共线性下参数估计量不存在
2.近似共线性下 OLS 估计量非有效


3.参数估计量经济含义不合理
4.变量的显著性检验(t 检验)失去意义
5.模型的预测功能失效:通过多元线性模型拟合出的预测收益率极其不准确,模型失效。
检验新求出的因子与已入库因子的相关性。通常来说,有两类数据求相关性:
1.根据所有 token 在回测期间的因子值求相关
2.根据所有 token 在回测期间的因子超额收益值求相关

我们所求的每个因子对 token 的收益率都有一定的贡献和解释能力。进行相关性检验**,是为了找到对策略收益有不同解释和贡献的因子,策略的最终目的是收益**。如果两个因子对收益的刻画是相同的,即使两个因子值存在很大差别也无意义。因此,我们并不是想找到因子值本身差异大的因子,而是想找到因子对收益刻画不同的因子,所以最终选择了用因子超额收益值求相关。
我们的策略是日频,所以按回测区间的日期计算因子超额收益之间的相关系数矩阵

编程求解与库内相关最高的前 n 个因子:
def get_n_max_corr(self, factors, n= 1):
factors_excess = self.get_excess_returns(factors)
save_factor_excess = self.get_excess_return(self.factor_value, self.start_date, self.end_date)
if len(factors_excess) < 1:
return factor_excess, 1.0, None
factors_excess[self.factor_name] = factor_excess[excess_return]
factors_excess = pd.concat(factors_excess, axis= 1)
factors_excess.columns = factors_excess.columns.levels[ 0 ]
# get corr matrix
factor_corr = factors_excess.corr()
factor_corr_df = factor_corr.abs().loc[self.factor_name]
max_corr_score = factor_corr_df.sort_values(ascending=False).iloc[ 1:].head(n)
return save_factor_excess, factor_corr_df, max_corr_score
对于相关性较高的因子集合,可以采取两种方式处理:
根据因子本身的 ICIR 值、收益率、换手率、Sharpe 比率,挑选某维度下最有效的因子进行保留,删除其他因子。
对因子集合中的因子进行合成,截面上尽可能多的保留有效信息

假设当前有 3 个待处理的因子矩阵:
免责声明:数字资产交易涉及重大风险,本资料不应作为投资决策依据,亦不应被解释为从事投资交易的建议。请确保充分了解所涉及的风险并谨慎投资。OKEx学院仅提供信息参考,不构成任何投资建议,用户一切投资行为与本站无关。

和全球数字资产投资者交流讨论
扫码加入OKEx社群
industry-frontier