
JustLend DAO完成首轮JST回购
原文标题:《Censorship resistance in Bitcoin and Ethereum》
原文作者:Allen Zhao, Mustafa Yilham, Henry Ang Jermaine Wong,Bixin Ventures
原文编译:Evan Gu,Wayne Zhang,Bixin Ventures
八月初,美国财政部海外资产控制办公室 (OFAC) 决定将 Tornado Cash 添加到制裁名单中的消息将抗审查的问题放到了聚光灯下。为免除相关刑事责任,RPC 服务提供商 Alchemy 和 Infura 限制了对 Tornado Cash 智能合约数据的访问,Circle(USDC 发行商)也将制裁名单上的钱包地址列入黑名单。 黑名单列出的地址也同样遭到了例如 Aave 等 Defi 协议的禁止,但用户仍然可以交互一些智能合约,不过需要许多额外步骤和一些技术方面的专业知识。
这让我们思考一个更加普遍的问题:区块链在协议层面会被审查吗? 以太坊社区已经出现对协议级别审查的担忧, 66% 的信标链验证者在合并后对于 OFAC 法规表示很敏感。 如果超过 1/3 的验证者(按权益权重)被以任何形式进行审查,以太坊链将无法正常运行。

在本文中,我们将通过三个关键问题,比较 BTC (POW) 和 ETH (POS)在抗审查方面的表现,最后再给出我们的思考。
“审查”的定义
在最近的 Bankless 播客中,Justin Drake 定义了两种不同类型的审查:弱审查和强审查
弱审查:当某些被审查的区块生产者没有将个人交易包含在区块中时,就会发生弱审查,从而导致用户体验下降。比如一个合规的区块生产者拒绝来自黑名单地址的交易,但是,该交易最终仍由非审查区块生产者接收。
强审查:当个人的交易永远不会被包含在链上时,就会发生强审查。 鉴于个人已经失去了交易的能力,这种情况可以认为资产实际上已经损失了。 这种情况可能发生在网络被多数人接管时,也称为 51% 攻击,一旦发生则可能威胁到被攻击区块链的继续存在。
在下面的讨论中,我们将分别把比特币和以太坊作为 POW 和 POS 系统的代表网络进行对比。我们将首先确定审查要素有哪些,然后再详细介绍比特币和以太坊是如何实现抗审查的。
问题 1 :当矿工/区块验证者比较集中时,可能会出现通过管辖权进行监管的弱审查
比特币和以太坊都分别面临着矿池和验证节点中心化的问题。 这可能产生一种攻击方式即矿池或验证者节点可能被迫遵守法规,并审查在其管辖范围内被视为非法的任何交易。
以太坊
自合并以来,前两名质押服务商合计持有 43.03% 的份额,前三名持有 51.63% 的份额。这里的风险在于, 如果 Lido 和 Coinbase 联合起来,可以使网络停止运行;如果 Kraken 也加入,那么三者将可以接管以太坊网络。

来源:Related Network
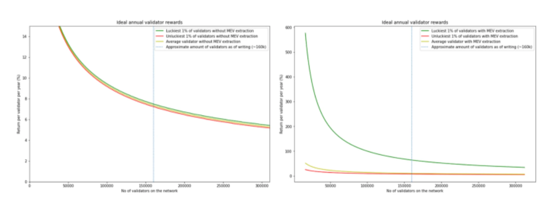
在研究以太坊是如何应对中心化威胁之前,我们先介绍为什么验证者最终会变得中心化。 在以太坊的 POS 机制下,区块生产者可以选择将哪些交易包含在下一个区块中以及后续是如何排序的。这允许验证者参与 MEV 提取的过程,Amber 在他们最近关于 ETH 合并的文章中对此进行了很好的定义。
“最大可提取价值,也称 MEV,广义上是指矿工或验证者在给定可用的操作中,在一系列区块中获得剩余价值。 这些操作可以包括对交易重新排序、审查区块,甚至尝试重组区块链。 一些常见的 MEV 形式包括三明治攻击、套利和清算。”

来源:Flashbots
如图所示,一旦考虑 MEV,验证者奖励就会显著增多。 由于 MEV 带来的经济激励,体量更大的参与者运行着更多验证节点,从而淘汰了个人及非专业验证节点。 因此,普通持有者更倾向于通过质押服务加入验证节点池,以获得更高更稳定的收入,从而增加了验证节点的中心化。
关于权益节点集中化的另一个考虑要素是加密货币交易所。交易所仍然是用户目前获取以太坊代币的最佳场所。考虑到他们拥有的庞大用户数量,很多代币会自然而然地聚集到这些交易所,而交易所通过他们的 Staking 平台提供便利的收益更会吸引代币的聚集。 我们应该对用户进行有关使用中心化平台进行质押风险的教育,例如如果中心化平台因司法压力可能选择恶意行事可能产生的影响。
尽管验证节点池不是最理想的解决方法,但它能让更多 ETH 持有者参与进来,所以权益池仍然是有利于以太坊的去中心化。
那么,以太坊是如何应对关于中心化方面的审查?
解决方法 1 :将区块的提议者和构建者分离
免责声明:数字资产交易涉及重大风险,本资料不应作为投资决策依据,亦不应被解释为从事投资交易的建议。请确保充分了解所涉及的风险并谨慎投资。OKEx学院仅提供信息参考,不构成任何投资建议,用户一切投资行为与本站无关。

和全球数字资产投资者交流讨论
扫码加入OKEx社群
industry-frontier