
JustLend DAO完成首轮JST回购

前言
过去,密码学技术在人类文明进步中占据了举足轻重的地位,尤其在信息安全和隐私保护领域发挥了不可替代的作用。它不仅为各领域的数据传输和存储提供了坚实的保护,而且它的非对称加密公私钥体系和哈希函数,更是在 2008 年由中本聪进行创造性地融合,设计出了解决双花问题的工作量证明机制,从而推动了比特币这一革命性数字货币的诞生,并开启了区块链行业的新时代。
随着区块链行业的不断演进和飞速发展,一系列前沿的密码学技术不断浮现,其中零知识证明(ZKP)、多方计算(MPC)和全同态加密(FHE)等最为突出。这些技术在多个场景中得到了广泛应用,如 ZKP 结合 Rollup 方案解决区块链的“不可能三角”问题,MPC 结合公私钥体系推动用户入口的大规模应用(Mass Adoption)。至于被视为加密学圣杯之一的全同态加密 FHE,其独特的特性使得第三方能够在不解密的情况下,对加密数据进行任意次数的计算和操作,从而实现可组合的链上隐私计算,为多个领域和场景带来了新的可能。
快速概览 FHE
当我们提到 FHE(全同态加密)时,我们可以先理解其名称背后的含义。首先,HE 代表同态加密技术,其核心特性在于允许对密文进行计算和操作,而这些操作能够直接映射到明文上,即保持加密数据的数学属性不变。而 FHE 中的“F”则意味着这种同态性达到了全新的高度,允许对加密数据进行无限次的计算和操作。
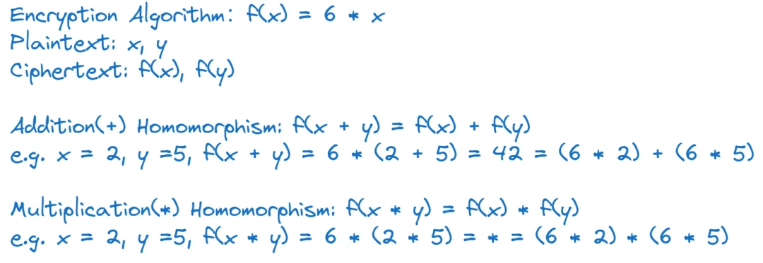
为了帮助理解,我们选用最简单的线性函数作为加密算法,并且结合单次操作说明加法同态和乘法同态。当然,实际 FHE 使用的是一系列更为复杂的数学算法,并且,这些算法对于计算资源(CPU 和内存)要求极高。

尽管 FHE 的数学原理深奥且复杂,但在此我们不过多展开。值得一提的是,在同态加密的领域中,除了 FHE 之外,还有部分同态加密和有些同态加密这两种形式。它们主要区别在于支持的操作类型和允许的运算次数不同,但同样为实现加密数据的计算和操作提供了可能。不过,为了保持内容的简洁性,我们在这里也不做深入讨论。
在 FHE 行业中,尽管有不少知名企业参与研究和开发,不过,微软和 Zama 凭借他们卓越的开源产品(代码库),凸显了无与伦比的可用度和影响力。他们为开发者提供了稳定且高效的 FHE 实现,这些贡献极大地推动了 FHE 技术的持续发展和广泛应用。
微软的 SEAL:一款由微软研究院精心打造的 FHE 库,不仅支持全同态加密,还兼容部分同态加密。SEAL 提供了高效的 C++接口,并通过集成众多优化算法和技术,显著提升了计算性能和效率。
Zama 的 TFHE:是一个专注于高性能全同态加密的开源库。TFHE 通过 C 语言接口提供服务,并运用一系列先进的优化技术和算法,旨在实现更快速的计算速度和更低的资源消耗。
按照最简化的思路,体验 FHE 的操作流程大致如下:
生成密钥:使用 FHE 库/框架生成一对公私钥。
加密数据:使用公钥对需要进行 FHE 计算处理的数据进行加密。
进行同态计算:利用 FHE 库提供的同态计算功能,对加密的数据执行各种计算操作,例如加法、乘法等。
解密结果:当需要查看计算结果时,合法的用户使用私钥对计算结果进行解密。
在 FHE 的实践中,解密密钥的管理方案(生成、流转和使用等)尤为关键。由于加密数据的计算和操作结果在某些时刻和场景下需要解密以供使用,那么,解密密钥便成为了确保原始数据和加工数据安全与完整性的核心。关于解密密钥的管理,其方案实际上与传统密钥管理有许多相似之处,但鉴于 FHE 的特殊性,也可以设计采取更为严谨和细致的策略。
对于区块链而言,由于其去中心化、透明化和不可篡改等特性,引入阈值的多方安全计算方案(Threshold Multi-Party Computation, TMPC)是一种极具潜力的选择。这种方案允许多个参与者共同管理和控制解密密钥,只有当达到预设的阈值数量(即参与者数量)时,才能成功解密数据。这样不仅能够提高密钥管理的安全性,还能降低单一节点被攻破的风险,为 FHE 在区块链环境中的应用提供了强有力的保障。
打下基础的 fhEVM
免责声明:数字资产交易涉及重大风险,本资料不应作为投资决策依据,亦不应被解释为从事投资交易的建议。请确保充分了解所涉及的风险并谨慎投资。OKEx学院仅提供信息参考,不构成任何投资建议,用户一切投资行为与本站无关。

和全球数字资产投资者交流讨论
扫码加入OKEx社群
industry-frontier